Home 14C dates present siteAnalysis Sites About
blue dot...........................................................................................................yellow dot 
Subregion IIc – Western Aegean

1. Northern Central Greece

The western Aegean subregion is divided by the Spercheios valley into a northern and a southern part, as delineated in the geographical description of Region II. 14C sequences from the northern subregion have been established decades ago – in lack of new series they must still be considered as representative for the different areas: the dates from Argissa Magoula for eastern Thessaly, the dates from Sesklo for Magnesia and the sequence from Achilleion for western Thessaly.

Argissa Magoula
Although Vladimir Milojčić was a very harsh opponent of the radiocarbon method he nevertheless delivered in 1958 several charcoal samples from Argissa from what he considered Preceramic contexts to the Heidelberg laboratory. They received entry numbers H-889 up to H-900. We thank Bernd Kromer for this information (pers. comm. November 2002, February 2004). Results are known from only six of these samples. The 'Phase' indications as presented here are based on the reassessment of the Argissa site (Reingruber 2008).

Yet, the controversial dates that fostered the discussion on indigenous domesti­ca­tion of animals (cattle, sheep and dog) were run on bone samples to which no references in the documents were found. Moreover, also their exact provenance is not known. Overall, four (or five?) bone samples were dated at the University of Los Angeles and subsequently published by Protsch and Berger 1973, 236. Two dates gave results between 7300 and 6700 calBC (UCLA-1657A, UCLA-1657D), one at around 5600 calBC (UCLA-1657E) whilst the sample UCLA-1657B failed. These dates must be considered as highly doubtful, not only because of the later "career" of the main author of the article, Reiner Protsch: As director of the Frankfurt radiocarbon laboratory he demonstrably made up or even faked results (http://www.spiegel.de/spiegel/print/d-31822039.html, ac­cessed 21.6.2016) and was expelled from the University in 2005. Also the wide variety of the results obtained on these bone samples throws some doubts on their quality: Especially the dating of collagen necessitates complicated pre-treatments, and only after the introduction of the AMS-method in 1977 (http://www.radiocarbon.com/PDF/Beta-AMS-Methodology.pdf) and the appli­ca­tion of ultra-filtration in 1988 (Brown et al. 1988) can such results be regarded as reliable. From Table 1 published by Protsch and Berger (1973, 236) it appears that the same lab-code (UCLA-1657D) was used not only for three different bone samples but even for bones from three different species, and that only by "stratigraphic association" (ibid., 239) the result of approximately 7000 BC was obtained; it remains obscure which sample has in fact been analysed. Even though the UCLA-dates on animal bones for many decades supported the idea that the EN in Thessaly, and in Greece generally, started at 7000 BC, for the above reasons this assertion should be treated very critically or even be dismissed.

On the other hand, the charcoal samples run in Heidelberg and Groningen (Milojčić 1973, 250; Vogel and Waterbolk 1967, 129) are dating the beginning of the site to the mid 7th millennium BC. The seven charcoal samples are deriving from different contexts belonging to the Early, Middle and Late Neolithic. Given their singularity no statistical modelling is reasonable (compare Figure 1). The two oldest dates suggest a beginning of the EN I around 6600 calBC (according to the median values), but the two younger dates, attributable to the same phase (the EN I), would rather support a much later date around 6400 calBC. Even more, this upper limit must be considered as a terminus post quem (TPQ) since determinations of the wood species are not available. The beginning of the EN I occurred thus probably at this site even later, after 6400 calBC.

These dates, although few and ambiguous, do not support the excavators' interpretation of two distinct periods – that of a long-lasting Preceramic period and of a subsequent Early Ceramic period. Indeed, the three oldest dates (from the Heidelberg laboratory) derive from the so-called "Preceramic" pits and the Groningen date from the above spit 28b. But this distinction might be an artificial product of the excavation procedure: spit 28b has been excavated in 1956 and the "pits" in 1958. As shown elsewhere (Reingruber 2008, 144–146) the pits contained several sherds that were interpreted as intrusive. Neither the inter­twined shape of pits β – ζ nor their shallowness and uneven bottoms distinguish them as such – they might have been part of the uneven terrain as encountered by the first settlers. Moreover, date H-894-3081 ("pit β")and GrN-4145 (spit 28b) are of the same age. The oldest sample (H-889-3080) was taken from the rim of pit α – it can either belong to the pit itself which was dug in from spit 27c dating to EN II, or else it pertains to the bordering area in Δ 8/9, in which case it would belong to spit 31, dating to EN I (Reingruber 2008, 157).

No dates are available from the EN II levels. The sample H-899-? was taken from a posthole observed in pit α – it obviously did not belong to this pit but to a construction from higher above, from the MN (median value at 5700 BC). No layers of this period were preserved, the unstratified materials derive from pits and ditches (Reingruber 2008, 214–219). The dates falling into the LN also do not pertain to stratigraphical secured contexts since, again, no corresponding layers were preserved, but a large pit with mainly white on red painted pottery of the Agia Sofia stage can be acknowledged (Hauptmann 1981, 281–286).

Although all dates should be considered as termini post quos, they support the relative chronological phasing as established by the stratified pottery assemblages of the EN and the unstratified MN and LN inventories.

Figure 1. Calibrated dates from the Argissa Magoula in Thessaly arranged according to material and age.
Fig. 1. Calibrated dates from the Argissa Magoula arranged according to material and age.

Sesklo
That the dates on charcoal from the Argissa Magoula are indeed more reliable than those on bone was confirmed in 1973 by the dates, again on charcoal, from Sesklo (Lawn 1973, 370). On the Acropolis (Sesklo A) and northwest of it (Sesklo C) the lowest levels were also considered to belong to a "Preceramic" phase (for a critical appraisal compare Reingruber 2008, 221–246). The dates as well do not support the view of two different periods of the EN: a Preceramic and a Ceramic period, since they overlap between 6500 and 6000 BC (Figure 2). In lack of a precise stratigraphical description the dates cannot be used in a model: they only give us a hint to the duration of the whole EN but not of different phases within this period. The MN started shortly after 6000 BC and lasted for c. 500 years. This situation is corroborated by the dates from Sesklo C and Sesklo B (Figure 3).

Figure 2. Calibrated dates in chronological order from Sesklo Magoula.
Figure 2. Calibrated dates in chronological order from Sesklo Magoula (Sesklo A).

Figure 3. Calibrated dates from the flat area around the magoula of Sesklo.
Figure 3. Calibrated dates from the flat area (Sesklo B and Sesklo C) around the magoula of Sesklo.

Achilleion
The duration of the three EN phases, especially of phases EN II–III, can be established with the help of the sequence from Achilleion. The site of Achilleion was after Argissa, Sesklo, Gediki and Soufli Magoula among the last for which a Preceramic period was claimed by Theocharis (1962). It was nevertheless among the first for which such a period had been rejected (Gimbutas 1974, 282). Owed to the competitive spirit between M. Gimbutas and V. Milojčić the discussion around the existence of this period was indeed very pointed. Gimbutas reached the sterile soil in Achilleion in 1974 in a restricted area of the trench. Nev­er­the­less, it could be firmly established that pottery and clay objects were part of daily activities from the very beginning of the settlements' use. Not only that: compared to the eastern Thessalian sites Achilleion displayed features of a slightly later stage of the EN, the EN II. This is corroborated also by the 14C dates.

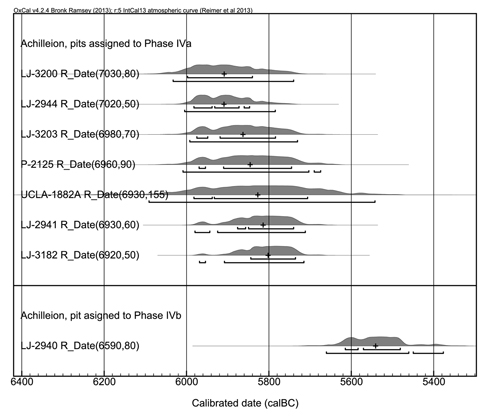
The two Squares A and B yielded the most comprehensive sequences, in Squares C and D the virgin soil was not reached. Many samples derive from pits – these were not included in the model shown in Figure 4. Also not included are two dates that are probably outliers: LJ-3180 (Phase IIb) and P-2123 (Phase IIIb).

The model confirms the beginning of Phase I in Achilleion shortly after 6300 calBC (Table 1), and the transition from the EN to the MN around or slightly before 6000 calBC (Phase IIIb). Note that no dates are available for Phase IIIa. The stratigraphic sequence ends in Phase IVa with layers 2–10 dated to the 60th century calBC. Additional samples assigned to Phase IVa derive from pits and ditches in layers 10–21 and are not included in this model. Calibrated separately they suggest that the occupation lasted until 5800 calBC (Figure 5). The single, much later date for Phase IVb is also deriving from a pit that attests a short re-occupation around 5540 calBC. This youngest date corresponds well with the end of the Middle Neolithic at 5500 calBC.

Achilleion Boundary medians (stratigraphic sequence),
calBC 1σ
Medians
(pits and ditches), calBC 1σ
Phase Ia–Ib 6280–6210  
Phase IIa–b 6210–6070  
Phase IIIb 6070–5980  
Phase IVa (layers) 5980–5900  
Phase IVa (pits and ditches)   5900–5800
Phase IVb (pit)   5540
Table 1. Achilleion: Model based on the medians of boundaries (compare Figure 4). Not included in the model were the dates from pits and ditches, listed separately in the right column (compare also Figure 5).

Figure 4. Achilleion, modelled dates. Samples from pits and ditches (compare Figure 5) and two outliers are not included in the model.
Figure 4. Achilleion, modelled dates. Samples from pits and ditches (compare Figure 5) and two outliers (LJ-3180 and P-2123) are not included in the model.

Figure 5. Achilleion, dates from pits and ditches arranged according to ages.
Figure 5. Achilleion, dates from pits and ditches arranged according to ages.

General assessment
The beginning of the Neolithic way of life in Thessaly is for a lack of modern investigations still only poorly understood. The "Preceramic" phase was described by V. Milojčić and D. Theocharis as a discrete period antedating the Ceramic Neolithic and not, as in the case of the Aceramic (compare Analysis IIb) co-eval with it (Milojčić 1962, 4). This "Preceramic Period" must nowadays be rejected (compare Reingruber 2015). In the lowest deposits of all sites that have either been re-excavated (Achilleion, Soufli Magoula) or re-analysed (Argissa Magou­la), pottery was part of the material culture. Two contemporary witnesses, Harald Hauptmann who was in charge of the find inventory in Argissa campaign of 1958, and Mies Wijnen who participated at the excavations in Sesklo C in 1976–77, affirmed that in the lowest deposits of the two mentioned sites pottery occurred, although in low quantities only (Hauptmann, pers. comm. December 2002; Wijnen, pers. comm. February 2004).

The date of the beginning of the EN in Thessaly is mainly based on samples analysed in the very early years of the radiocarbon dating method. No short-lived grains or seeds are available that could have contributed to a more accurate dating, and it is mainly charcoal that has been collected for dating during excavations. Even so, the problems related to a very early onset of the Neolithic in Thessaly can be considered as solved, especially by demonstrating that the dates on animal bones from Argissa Magoula are not only without any clear context, but it remains obscure how many samples were indeed run. Moreover, the information concerning the dated bones is rather ambiguous, since some dates were obtained by "stratigraphic association"or, as during Protschs' directorship in Frankfurt ironically called by his former collaborator B. Weninger, by "mental dating" (supra).

Even if the dates were not made up, they gave wrong results because of the problems related to collagen dating before the introduction of the AMS method. The beginning of the EN in Thessaly must therefore be re-dated by at least 500 years: yet even the date of 6600/6400 calBC for the beginning of the sedentary way of life can only be considered as a terminus post quem since the old wood-effect cannot be ruled out either. The approximate duration of EN and MN phases is given in Table 2:

Synopsis based on: Absolute chronology (calBC, 1σ) Relative chronology Phases
Achilleion IVb (pit) 5540 Sesklo III MN III
Achilleion IVa (pits) 5900–5800 Sesklo II MN II
Achilleion IVa (layers) 5980–5900 Sesklo II MN II
Achilleion IIIb 6070–5980 Sesklo I MN I
Achilleion IIa–b 6210–6070 Presesklo EN III
Achilleion Ia–b 6280–6210 Protosesklo EN II
Argissa Magoula I 6600/6400 "Preceramic"/ Early Ceramic EN I
Table 2. Duration of single phases based on the median values of calibrated dates (Argissa Magoula, compare Figure 1; Achilleion IVb, compare Figure 5) and median boundary values of modelled dates (Achilleion Ia–IVa, compare Figure 4 and Table 1).

More accurate dates are meanwhile available from Koutroulou Magoula (Nina Kyparissi-Apostolika, pers. comm. March 2015). They confirm the beginning of the MN around or shortly after 6000 calBC: The EN in Thessaly lasted therefore not longer than 500 years, as did also the MN.
—A.R.


2. Southern Central Greece

The sequences from sites south of the Spercheios valley (e.g from Elateia, Halai or Chaironeia) will be presented in a separate analysis.


 
© 2017 14SEA.org, radiocarbon 14SEA database Authors. All rights reserved.